Procédure simplifiée de détermination de la qualité aérodynamique des avions amateurs.
Ewald HUNSINGER - Michaël OFFERLIN - J. Jacques HUNSINGER
Cela est naturel, après avoir passé plusieurs milliers d’heures à construire son avion, ou encore après avoir apporté telle ou telle modification à un prototype donné, de connaître le résultat qualitatif de ses efforts et de ses choix. Si chacun ne disposait que du même moteur, cela ne poserait pas de problème : le meilleur serait celui qui transporte une charge donnée le plus vite possible. Or, la motorisation est là pour cacher bien des déficiences... et susciter parfois quelques vagues ressentiments face à l’inégalité d’accès aux chevaux. Le km/h n’est pas un critère qualitatif, encore fallait-il en proposer d’autres autorisant les comparaisons entre ce que certains appellent sans pouvoir les définir des "rendements aérodynamiques".
Pour évaluer la qualité d’une machine, il faut bien entendu la soumettre à un certain nombre de tests qui sont plus ou moins longs et coûteux. Evidemment, comme il est inutile d’obtenir de grandes précisions pour des avions dont l’aérodynamique est déficiente, il convient de faire quelques essais préliminaires (que chacun pourra faire pour soi d’ailleurs), afin de se faire une idée suffisamment précise de la suite à donner à d’éventuelles évaluations complètes.
Le calcul des paramètres fondamentaux nécessite de connaître 3 choses :
- La vitesse maxi exacte en palier stabilisé
- La puissance exacte injectée sur l’arbre à cette vitesse maxi
- La surface mouillée totale de l’avion
Si ce dernier point ne pose pas de problème particulier, il n’en est pas de même pour les deux premiers qui nécessitent un essai minimum calibré.
1) Essai sur base en palier stabilisé plein gaz (Figure 1)
Pour éliminer l’incertitude sur la mesure des vitesses, due à l’installation anémométrique, on procède à une mesure de distance et de temps de parcours au moyen d’un chronomètre.
figure 1
La procédure est la suivante :
- Choisir au sol (sur une carte d’état major), 2 points le long d’une ligne droite (chemin de fer, route, canal) écartés de 5 à 20 km, dont la distance est connue à 1 ou 2% près, et qui formeront une base de longueur L.
- Attendre un jour à vent faible, de préférence dans l’axe du vol,
- Faire un Aller-retour sur cette base en chronométrant chaque sens de vol, afin d’obtenir les temps d’aller et de retour Le vol se fera plein gaz, à faible altitude, (en assurant toutefois la sécurité), les entrées sur la base L devant se faire à vitesse stabilisée, et le vol en palier.
- Relever à cette occasion la pression ambiante Pa (à l’altitude de vol) en mettant l’altimètre à 0 et en mesurant la pression affichée dans la fenêtre,
- Relever la température extérieure Ta
- Relever le régime moteur-hélice plein gaz (N)
2) Exploitation des relevés d’essais :
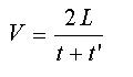
a) La vitesse de vol :
b) la masse spécifique de l’air à l’altitude de vol :
c) La puissance du moteur :
Pour calculer les paramètres aérodynamiques fondamentaux, il faut connaître de façon précise la puissance Pm que le moteur injecte sur l’arbre au régime et à l’altitude de l’essai. Pour ce faire, il est préférable de disposer des courbes moteur du constructeur sur lesquelles on relèvera directement la puissance Pmo fournie par le moteur au régime N relevé en vol ; puissance qu’il faudra encore corriger en fonction de l’altitude, puisqu’elles ont été établies pour les conditions standard ISA.
Si les courbes moteurs ne sont pas disponibles, il faut au moins disposer d’une puissance et d’un régime auquel cette puissance est atteinte (ce sont en général la puissance nominale Pn pour le régime nominal Nn, car sachant que la puissance plein gaz est pratiquement proportionnelle au régime, on pourra déterminer Pmo de la façon suivante avec une précision d’autant meilleure que le régime N de vol est proche du régime nominal Nn :
figure 2
Cette puissance délivrée au régime N relevé en vol est la puissance que délivrerait le moteur au niveau de la mer. Il faut donc encore pratiquer une correction altimétrique pour obtenir la puissance Pm effective délivrée par le moteur au régime N et à l’altitude considérée. La correction altimétrique est faite de la façon suivante :
3) Mesure et calcul de la surface mouillée totale :
a) Surface mouillée fuselage :
Elle est obtenue par cumul de tranches de fuselage (Figure 3)
figure 3
b) Surface mouillée des surfaces portantes :
figure 4
c) Surface mouillée empennages (Sme) :
La procédure est similaire à celle utilisée pour l’aile.
d) Surfaces mouillées annexes :
Additionner les surfaces des roues, des jambes, des haubans, de tous les éléments qui baignent dans l’air.
e) Surface mouillée totale :
Smt = Smf + Sma + Sme + ...
4) Calcul des paramètres fondamentaux :
la surface de traînée équivalente S.Cxo d’un avion, représente à peu de choses près la surface de la plaque plane équivalente disposée perpendiculairement à l’écoulement.
Le coef de frottement équivalent plaque plane Cfe est égal quant à lui :
InterAction
Association de Sauvetage Créatif du Savoir Aérotechnique











